IPCC Fourth Assessment Report: Climate Change 2007
تقرير الفريق العامل الأول ‎‎‎-- قاعدة العلوم الفيزيائية
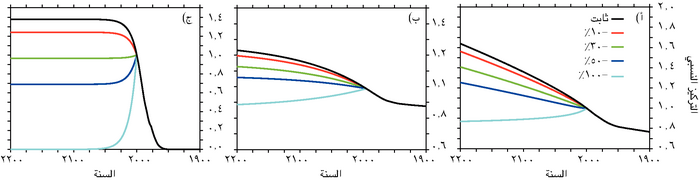
السؤال 10-3 الرسم 1

السؤال ١٠-٣. الرسم ١. أ) محاكاة تغيّرات في معدّل تركيز ثاني أكسيد الكربون في الغلاف الجوي بالنسبة إلى المعدّل الحالي في ما يتعلق بإنبعاثات تم تثبيتها على المستوى الحالي (اللون الأسود) أو على مستوى أدنى من المستوى الحالي بنسبة ١٠% (أحمر) و٣٠% (أخضر) و٥٠% (كحلي) و١٠٠% (أزرق). ب) مثل الحالة أ) بالنسبة إلى غاز نذر ذي عمر ١٢٠ سنة، بتأثير من عوامل طبيعية وعوامل من بشرية المنشأ. وج) مثل الحالة أ) بالنسبة إلى غاز نزر ذي عمر ١٢ سنة، بتأثير من عوامل من بشرية المنشأ فقط.