IPCC Fourth Assessment Report: Climate Change 2007
Climate Change 2007: Working Group I: The Physical Science Basis

4.4.4.3 Ice Export and Advection

The sea ice outflow through Fram Strait is a major component of the ice mass balance of the Arctic Ocean. Approximately 14% of the sea ice mass is exported each year through Fram Strait. Vinje (2001) constructed a time series of ice export during 1950 to 2000 using available moored ice-profiling sonar observations and a parametrization based on geostrophic wind. He found substantial inter-decadal variability in export but no trend.

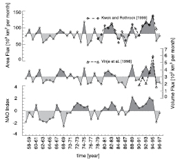
Kwok and Rothrock (1999) assembled an 18-year time series of ice area and volume flux through Fram Strait based on satellite-derived ice motion and concentration estimates. They found a mean annual area flux of 919 × 103 km2 yr–1 (nearly 10% of the Arctic Ocean area), with large interannual variability that is positively correlated in part with the NAM or North Atlantic Oscillation (NAO) index. Using the thickness data of Vinje et al. (1998), they estimated a mean annual volume flux of 2,366 km3. Subsequent modelling by Hilmer and Jung (2000) indicated that the correlation between NAO (or nearly equivalently, the NAM) and Fram Strait ice outflow is somewhat transient, with significant correlation during the period 1978 to 1997, but no correlation during 1958 to 1977 (Figure 4.12). This was a consequence of rather subtle shifts in the spatial pattern of surface pressure (and hence wind) anomalies associated with the NAO. A recent update of this time series (Kwok et al., 2004) to 24 years (ending in 2002) shows only minor variations in the mean volume and area flux and the correlation with NAO persists.

Overall, while there is considerable low-frequency variability in the pattern of sea ice motion, there is no evidence of a trend in either hemisphere.

Figure 4.12

Figure 4.12. Time series of modelled Fram Strait sea ice area and volume flux, along with the NAO index. Also shown are observational estimates of area flux (Kwok and Rothrock, 1999) and volume flux (Vinje et al., 1998). Reproduced from Hilmer and Jung (2000).