IPCC Fourth Assessment Report: Climate Change 2007
تقرير الفريق العامل الأول ‎‎‎-- قاعدة العلوم الفيزيائية
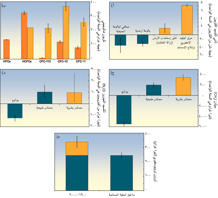
السؤال 7-1  الرسم 1

السؤال ٧-١، الرسم ١. تحليل الإسهامات في التغيّرات في تركيزات غاز الدفيئة الموجود في الغلاف الجوي بالإعتماد على المعلومات المفصلة في الفصلين ٤ و٧. من الرسم (أ) إلى الرسم (د) تظهر المصادر التي يتسبب بها البشر باللون البرتقالي فيما تظهر المصادر الطبيعية والترسبات باللون الأخضر. في الرسم (ه) تظهر نسب الأوزون التروبوسفيري الذي يتسبب به البشر باللون البرتقالي فيما تظهر نسب الأوزون الطبيعي باللون الأخضر. (أ) مصادر ثاني أكسيد الكربون وترسباته (جيغا طن من الكربون). في كل عام، ينبعث ثاني أكسيد الكربون إلى الغلاف الجوي من جراء الأنشطة البشرية بما في ذلك إحتراق الوقود الأحفوري وتغيّر إستخدام الأراضي. ويبقى ٥٧ إلى ٦٠% من ثاني أكسيد الكربون المنبعث من الأنشطة البشرية موجوداً في الغلاف الجوي. ويذوب البعض في المحيطات ويدخل البعض الأخر في نمو النباتات. وتعود التدفقات المتعلقة بالأراضي إلى التسعينيات. وإن الوقود الأحفوري وصهر الإسمنت والإمتصاص الصافي للمحيط يتراوح من العام ٢٠٠٠ إلى العام ٢٠٠٥. كل الأرقام والنسب المشكوك فيها هي من الجدول ٧.١.

(ب) الإنبعاثات العالمية للمركب الكربوني الفلوري الكلوري والمركبات الأخرى التي تحتوي على الهالوجين للعام ١٩٩٠ (البرتقالي الفاتح) و٢٠٠٢ (البرتقالي الداكن). وينتج البشر هذه المواد الكيميائية حصرياً. وتضم المركبات الكربونية الفلورية الهيدروليجية الكلورية المركّب الكربوني الفلوري الهيدروليجي الكلوري-٢٢ – ١٤١ب و-١٤٢ب فيما تضم المركبات الكربونية الفلورية الهيدروليجية المركّب الكربوني الفلوري الهيدروليجي-٢٣، -١٢٥، -١٣٤أ و-١٥٢أ. واحد جيغا غرام=١٠٩ غرام (١٠٠٠ طن). وتأتي معظم البيانات من تقارير أشار إليها الفصل ٢. (ج) مصادر الميثان وترسباته للفترة الممتدة بين العام ١٩٨٣ والعام ٢٠٠٤. تضم مصادر الميثان المتأتية من البشر إنتاج الطاقة وردم الأراضي والحيوانات المجترة كالماشية والخراف وزراعة الأرز وحرق الكتلة الإحيائية. واحد تيرا غرام =١٠١٢ غرام (مليون طن). وتشكل الأرقام والشكوك الوسائل والإنحرافات المعيارية للميثان للأرقام الإجمالية المناسبة من الجدول ٧.٦. (د) مصادر أكسيد النتروز وترسباته. تضم مصادر أكسيد النتروز المتأتية من البشر تحوّل السماد النتروجيني إلى أكسيد النتروز وإنبعاثه من التربة الزراعية وحرق الكتلة الإحيائية والمواشي وبعض الأنشطة الصناعية بما في ذلك صناعة النيلون. تشكل الأرقام والشكوك نقطة الوسط وتحديدات النسبة من الجدول ٧.٧. تأتي خسارات أكسيد النتروز من الفصل ٧.٤. (ه) الأوزون التروبوسفوري في القرن التاسع عشر والقرن العشرين وفي الفترة الممتدة بين العام ١٩٠٠ والعام ٢٠٠٠. يتسبب البشر بتزايد تكوين الأوزون التروبوسفيري الناتج من تفاعلات الملوثات الكيميائية الموجودة في الغلاف الجوي المنبعثة من حرق الوقود الأحفوري أو الوقود البيولوجي. وإن القيمة التي تسبق العصر ما قبل الصناعي والنسبة المشكوك فيها من الجدول ٤.٩ في تقرير التقييم الثالث للهيئة الدولية المعنية بتغيّر المناخ، المقدّرة من مراقبات أعيد بناؤها. ويشكل المجموع الحالي والنسبة المشكوك فيها المعدّل والإنحراف المعياري لنتائج النموذج الموجودة في الجدول ٧.٩ في هذا التقرير بإستثناء تلك المتأتية من تقرير التقييم الثالث.