IPCC Fourth Assessment Report: Climate Change 2007
تقرير الفريق العامل الأول ‎‎‎-- قاعدة العلوم الفيزيائية

السؤال ٧-١ : هل تعتبر الأنشطة البشرية في العصر الصناعي مسؤولة عن زيادة نسب

السؤال ٧-١

هل تعتبر الأنشطة البشرية في العصر الصناعي مسؤولة عن زيادة نسب

ثاني أكسيد الكربون وسائر غازات الدفيئة الموجودة في الغلاف الجوي؟

نعم، إن مرد الزيادة في نسب ثاني أكسيد الكربون الموجودة في الغلاف الجوي وفي سائر غازات الدفيئة في خلال العصر الصناعي هو الأنشطة البشرية. في الواقع، إن الزيادة الحاصلة في تركيزات ثاني أكسيد الكربون الموجودة في الغلاف الجوي لا تكشف عن الإنبعاثات كافة التي يتسبب بها النشاط البشري الذي يشكّل نسبة ٥٥ بالمئة فقط من نسبة ثاني أكسيد الكربون المنبعث منذ العام ١٩٥٩. أما النسبة المتبقية فمتأتية من النباتات الموجودة على سطح الأرض ومن المحيطات. وفي كل الأحوال، تحدد تركيزات غازات الدفيئة الموجودة في الغلاف الجوي ونسب إرتفاعها عن طريق التوازن ما بين المصادر أي إنبعاثات الغاز من الأنشطة البشرية ومن الأنظمة الطبيعية وبين الترسبات أي إزالة الغاز من الغلاف الجوي عن طريق تحوّله إلى مركّب كيميائي أخر. وإن إحراق الوقود الأحفوري، بالإضافة إلى مساهمة صغيرة من صناعة مادة الإسمنت، هما مسؤولان عن نسبة تفوق الـ٧٥ بالمئة من إنبعاثات ثاني أكسيد الكربون البشري المنشأ. أما تغيّر إستخدام الأراضي وبشكل أساسي إزالة الغابات فهو المسؤول عن النسبة المتبقية. أما بالنسبة إلى الميثان وهو غاز دفيئة أخر هام فإن الإنبعاثات التي سببتها الأنشطة البشرية قد تخطت الإنبعاثات الطبيعية على مر ٢٥ عاماً. وفي ما يتعلق بأكسيد النيتروز فإن الإنبعاثات التي سببتها الأنشطة البشرية تساوي الإنبعاثات الطبيعية في الغلاف الجوي. ومعظم الغازات التي تحتوي على هالوجين والتي تعيش طويلاً كالكلورو فليورو كربون هي ناتجة عن الأنشطة البشرية وهي لم تكن موجودة في الغلاف الجوي قبل العصر الصناعي. وبالإجمال، فإن الأوزون التروبوسفيري قد إرتفع إلى نسبة ٣٨ بالمئة منذ العصور ما قبل الثورة الصناعية وتُرد الزيادة إلى التفاعلات في الغلاف الجوي لملوثات لا تعيش طويلاً منبعثة من جراء النشاط البشري. ويبلغ تركيز ثاني أكسيد الكربون حالياً ٣٧٩ جزءاً في المليون، والميثان من ١.٧٧٤ جزءاً في المليار، وكليهما بنسب مرتفعة لم تُسجل من قبل، منذ على الأقل ٦٥٠ ألف عام وذلك عندما تراوحت نسب ثاني أكسيد الكربون بين ١٨٠ و٣٠٠ جزء في المليون والميثان تراوح بين ٣٢٠ و٧٩٠ جزءاً في المليار. أما معدّل التغيّر الحالي فهو درامي ولم يسبقه مثيل. فالزيادة في نسبة ثاني أكسيد الكربون لم تتخطَّ يوماً ٣٠ جزءاً في المليون خلال آلاف الأعوام، ومع ذلك فإن ثاني أكسيد الكربون قد إزداد بنسبة ٣٠ جزءاً في المليون في خلال ١٧ عاماً فقط.

ثاني أكسيد الكربون

تعتبر إنبعاثات ثاني أكسيد الكربون (الرسم ١أ) الناتجة عن إحراق الوقود الأحفوري فضلاً عن الإسهامات الناتجة عن صناعة الإسمنت، مسؤولة عن أكثر من ٧٥٪ من زيادة تركيز ثاني أكسيد الكربون الموجود في الغلاف الجوي منذ ما قبل الثورة الصناعية. أما النسبة المتبقية من الزيادة فهي ناتجة عن تغيّر إستخدام الأراضي وبشكل خاص عن إزالة الغابات وحرق الكتلة الإحيائية بالإضافة إلى الإسهامات الناتجة عن تغيير الممارسات الزراعية. وتشكل الأنشطة البشرية سبب كل هذه الزيادات. ومن غير الممكن لدورة الكربون الطبيعية تفسير الزيادة التي حصلت في الغلاف الجوي والتي انتقلت من ٣.٢ إلى ٤.١ جيغا طن من الكربون في السنة الواحدة على شكل ثاني أكسيد الكربون خلال الخمس وعشرين سنة الأخيرة (يساوي واحد جيغا طن من الكربون ١٠١٥ غ من الكربون مثلاً مليار طن).

وتقود العمليات الطبيعية كالتمثيل الضوئي والتنفس والإنحلال فضلاً عن تبادل الغاز عن سطح البحر، إلى تبادلات مكثفة ومصادر وترسبات من ثاني أكسيد الكربون بين سطح الأرض والغلاف الجوي، وتُقدّر بحوالي ١٢٠ جيغا طن من الكربون في السنة الواحدة، وبين المحيط والغلاف الجوي المقدّرة بنحو ٩ جيغا طن من الكربون (الرسم ٧.٣). وتنتج ترسبات الكربون الطبيعي عن إمتصاص كمية صغيرة من ثاني أكسيد الكربون بحوالي ٣.٣ جيغا طن من الكربون في السنة الواحدة على مر الـ ١٥ سنة الأخيرة، معوضاً بشكل جزئي الإنبعاثات الناتجة عن الأنشطة البشرية. ولولا الترسب الطبيعي الذي يمتص نصف كمية ثاني أكسيد الكربون الناتجة عن الأنشطة البشرية على مر ١٥ سنة لكانت الترسبات الطبيعية الموجودة في الغلاف الجوي إزدادت بشكل درامي.

ويعزى سبب زيادة تركيز ثاني أكسيد الكربون في الغلاف الجوي إلى الأنشطة البشرية لأن طبيعة ثاني أكسيد الكربون الموجودة في الغلاف الجوي وبشكل خاص نسبة ذرات الكربون الثقيلة والخفيفة قد تبدّلت بشكل يمكن ربطه بإضافة كربون الوقود الأحفوري. بالإضافة إلى ذلك، تدنت نسبة الأكسيجين والنتروجين الموجودة في الغلاف الجوي فيما إزدادت نسبة ثاني أكسيد الكربون. وهذا الأمر متوقع لأن الأكسيجين يستنفد عندما يحرق الوقود الأحفوري. ويقل وجود نظير الكربون ١٣ في النباتات بينما يكثر في النباتات والوقود الأحفوري الذي يتشكل من النباتات ويكثر الكربون في المحيطات وفي الفورات البركانية وفي الإنبعاثات الحرارية الأرضية. وقد تدنى مستوى وجود نظير الكربون ١٣ في الغلاف الجوي، مشيراً إلى أن الكربون الإضافي يتأتى من الوقود الأحفوري ومن النباتات. فضلاً عن ذلك، يملك الكربون نظيراً إشعاعياً نادراً وهو الكربون ١٤ المتوفر في ثاني أكسيد الكربون الموجود في الغلاف الجوي ولكنه غائب عن الوقود الأحفوري. وأظهر التناقص في كمية الكربون ١٤ أن كربون الوقود الأحفوري قد أُضيف إلى الغلاف الجوي وذلك قبل تجربة الأسلحة النووية في الغلاف الجوي.

غازات تحتوي على الهالوجين

تعتبر الأنشطة البشرية مسؤولة عن معظم تركيزات الغازات التي تحتوي على الهالوجين التي تعيش طويلاً والموجودة في الغلاف الجوي. وتوفّر قبل الثورة الصناعية القليل من الغازات التي تحتوي على الهالوجين كبروميد الميثيل وكلوريد الميثيل مثلاً. وقد ساهم تطوير تقنيات جديدة للتراكيب الكيميائية في إنتشار غازات تحتوي على الهالوجين مصنّعة كيميائياً وذلك خلال الأعوام الخمسين الأخيرة في القرن العشرين. ويظهر الرسم ١ب إنبعاثات لغازات أساسية تحتوي على الهالوجين والناتجة عن الأنشطة البشرية. ويحدد هنا مدى عمر المركب الكربوني الفلوري الكلوري الذي يتراوح ما بين ٤٥ إلى ١٠٠ عام. أما عمر المركب الكربوني الفلوري الهيدروليجي الكلوري فيتراوح ما بين العام و١٨ عاماً ويتراوح عمر المركّب الكربوني الفلوري الهيدروليجي ما بين العام و٢٧٠ عاماً. ويبقى مركّب الكربوني الفلوري الهيدروليجي المشبع بالفليور غير المذكور هنا في الغلاف الجوي مئات السنين. وتستقر أو تنخفض حالياً تركيزات عدد كبير من الغازات التي تحتوي على الهالوجين بما فيها المركّب الكربوني الفلوري الكلوري، على سطح الأرض كنتيجة لبروتوكول مونتريال المتعلق بالمواد المستنفدة لطبقة الأوزون وتعديلاته. وترتفع حالياً تركيزات المركب الكربوني الفلوري الهيدروليجي الكلوري الذي يجب أن يتوقف إنتاجه في العام ٢٠٣٠، فضلاً عن غازات المركب الكربوني الفلوري الهيدروليجي المشبع بالفليور وهي غازات بروتوكول كيوتو.

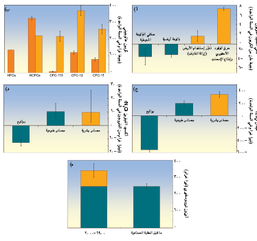
السؤال 7-1  الرسم 1

السؤال ٧-١، الرسم ١. تحليل الإسهامات في التغيّرات في تركيزات غاز الدفيئة الموجود في الغلاف الجوي بالإعتماد على المعلومات المفصلة في الفصلين ٤ و٧. من الرسم (أ) إلى الرسم (د) تظهر المصادر التي يتسبب بها البشر باللون البرتقالي فيما تظهر المصادر الطبيعية والترسبات باللون الأخضر. في الرسم (ه) تظهر نسب الأوزون التروبوسفيري الذي يتسبب به البشر باللون البرتقالي فيما تظهر نسب الأوزون الطبيعي باللون الأخضر. (أ) مصادر ثاني أكسيد الكربون وترسباته (جيغا طن من الكربون). في كل عام، ينبعث ثاني أكسيد الكربون إلى الغلاف الجوي من جراء الأنشطة البشرية بما في ذلك إحتراق الوقود الأحفوري وتغيّر إستخدام الأراضي. ويبقى ٥٧ إلى ٦٠% من ثاني أكسيد الكربون المنبعث من الأنشطة البشرية موجوداً في الغلاف الجوي. ويذوب البعض في المحيطات ويدخل البعض الأخر في نمو النباتات. وتعود التدفقات المتعلقة بالأراضي إلى التسعينيات. وإن الوقود الأحفوري وصهر الإسمنت والإمتصاص الصافي للمحيط يتراوح من العام ٢٠٠٠ إلى العام ٢٠٠٥. كل الأرقام والنسب المشكوك فيها هي من الجدول ٧.١.

(ب) الإنبعاثات العالمية للمركب الكربوني الفلوري الكلوري والمركبات الأخرى التي تحتوي على الهالوجين للعام ١٩٩٠ (البرتقالي الفاتح) و٢٠٠٢ (البرتقالي الداكن). وينتج البشر هذه المواد الكيميائية حصرياً. وتضم المركبات الكربونية الفلورية الهيدروليجية الكلورية المركّب الكربوني الفلوري الهيدروليجي الكلوري-٢٢ – ١٤١ب و-١٤٢ب فيما تضم المركبات الكربونية الفلورية الهيدروليجية المركّب الكربوني الفلوري الهيدروليجي-٢٣، -١٢٥، -١٣٤أ و-١٥٢أ. واحد جيغا غرام=١٠٩ غرام (١٠٠٠ طن). وتأتي معظم البيانات من تقارير أشار إليها الفصل ٢. (ج) مصادر الميثان وترسباته للفترة الممتدة بين العام ١٩٨٣ والعام ٢٠٠٤. تضم مصادر الميثان المتأتية من البشر إنتاج الطاقة وردم الأراضي والحيوانات المجترة كالماشية والخراف وزراعة الأرز وحرق الكتلة الإحيائية. واحد تيرا غرام =١٠١٢ غرام (مليون طن). وتشكل الأرقام والشكوك الوسائل والإنحرافات المعيارية للميثان للأرقام الإجمالية المناسبة من الجدول ٧.٦. (د) مصادر أكسيد النتروز وترسباته. تضم مصادر أكسيد النتروز المتأتية من البشر تحوّل السماد النتروجيني إلى أكسيد النتروز وإنبعاثه من التربة الزراعية وحرق الكتلة الإحيائية والمواشي وبعض الأنشطة الصناعية بما في ذلك صناعة النيلون. تشكل الأرقام والشكوك نقطة الوسط وتحديدات النسبة من الجدول ٧.٧. تأتي خسارات أكسيد النتروز من الفصل ٧.٤. (ه) الأوزون التروبوسفوري في القرن التاسع عشر والقرن العشرين وفي الفترة الممتدة بين العام ١٩٠٠ والعام ٢٠٠٠. يتسبب البشر بتزايد تكوين الأوزون التروبوسفيري الناتج من تفاعلات الملوثات الكيميائية الموجودة في الغلاف الجوي المنبعثة من حرق الوقود الأحفوري أو الوقود البيولوجي. وإن القيمة التي تسبق العصر ما قبل الصناعي والنسبة المشكوك فيها من الجدول ٤.٩ في تقرير التقييم الثالث للهيئة الدولية المعنية بتغيّر المناخ، المقدّرة من مراقبات أعيد بناؤها. ويشكل المجموع الحالي والنسبة المشكوك فيها المعدّل والإنحراف المعياري لنتائج النموذج الموجودة في الجدول ٧.٩ في هذا التقرير بإستثناء تلك المتأتية من تقرير التقييم الثالث.

الميثان

تفوق مصادر الميثان الموجودة في الغلاف الجوي المتأتية من الأنشطة البشرية، مصادر الميثان المتأتية من الأنظمة الطبيعية (الرسم ١ج). بين العام ١٩٦٠ والعام ١٩٩٩، إزدادت تركيزات الميثان بمعدّل حوالي ست مرات أسرع من الأربعين سنة الماضية في الألفيتين قبل العام ١٨٠٠ على الرغم من إنعدام أي معدّل نمو منذ العام ١٩٨٠. وتشكل الأراضي الرطبة المصدر الطبيعي الرئيسي لوجود الميثان في الغلاف الجوي. وتضم المصادر الطبيعية الإضافية النمل الأبيض والمحيطات والنبتات وهيدرات الميثان. وتضم الأنشطة البشرية التي تنتج الميثان، إنتاج الطاقة من الفحم والغاز الطبيعي وجمع النفايات في الردم الأرضي وتربية الحيوانات المجترة كالمواشي والخراف وزراعة الأرز وحرق الكتلة الإحيائية. وعندما ينبعث الميثان، يبقى حوالي ٨.٤ سنة في الغلاف الجوي قبل أن يزول عبر الأكسدة الكيميائية في التروبوسفير بشكل خاص. وتضم ترسبات الميثان الأقل أهمية إمتصاص التربة والتدمير النهائي في الستراتوسفير.

أكسيد النتروز

تتساوى تقريباً مصادر أكسيد النتروز الموجودة في الغلاف الجوي من جراء الأنشطة البشرية ومصادر أكسيد النتروز المتأتية من الأنظمة الطبيعية (الرسم ١د). بين العام ١٩٦٠ والعام ١٩٩٩، إزدادت تركيزات أكسيد النتروز مرتين أسرع من الأربعين سنة في الألفيتين التي سبقت العام ١٨٠٠. وتضم المصادر الطبيعية لأكسيد النتروز المحيطات وأكسدة الأمونيا الكيميائية الموجودة في الغلاف الجوي والتربة. وتشكل التربة الإستوائية مصدراً هاماً لأكسيد النتروز الموجودة في الغلاف الجوي. وتضم الأنشطة البشرية التي تبعث أكسيد النتروز تحوّل السماد النتروجيني إلى أكسيد النتروز وإنبعاثه تالياً من التربة الزراعية وحرق الكتلة الإحيائية وتربية المواشي وبعض النشاطات الصناعية بما في ذلك صناعة النيلون. وعندما ينبعث أكسيد النتروز يبقى في الغلاف الجوي لمدة ١١٤ سنة قبل أن يزول عن طريق التدمير في الستراتوسفير.

الأوزون التروبوسفيري

يتأتى الأوزون التروبوسفيري من التفاعلات الكيميائية الضوئية الموجودة في الغلاف الجوي التي تدخل فيها المواد الكيميائية المتقدمة كأول أكسيد الكربون والميثان والمركبات العضوية المتطايرة وأكسيد النيتروجين. وتنبعث هذه المواد الكيميائية من العمليات الإحيائية الطبيعية ومن الأنشطة البشرية بما في ذلك تغيير إستخدام الأرض وإحتراق الوقود. وبما أن الأوزون التروبوسفيري لا يعيش وقتاً طويلاً إذ يدوم لبضعة أيام أو أسابيع في الغلاف الجوي، تختلف نسب توزعه وتتصل بوفرة المركبات المتقدمة وبخار الماء وأشعة الشمس.

وتبدو تركيزات الأوزون التروبوسفيري أعلى بشكل ملحوظ في الهواء الحضري والرياح بإتجاه المناطق الحضرية وفي مناطق حرق الكتلة الإحيائية. وتسبب البشر بزيادة ٣٨% (٢٠-٥٠%) في الأوزون التربوسفيري منذ العصر ما قبل الصناعي (الرسم ١ه).

ومن المحتمل أن الزيادة في الدفع الإشعاعي المشترك من ثاني أكسيد الكربون والميثان وأكسيد النتروز هو ست مرات أسرع بين العام ١٩٦٠ والعام ١٩٩٠ من الأربعين سنة خلال الألفيتين التي سبقت العام ١٨٠٠.